浙江工业大学之江学院2019年“三位一体”综合评价招生入围考生名单公示
发布时间:2019-04-25 11:12:01 阅读量:
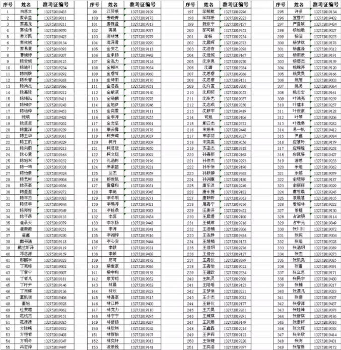
根据《浙江工业大学之江学院2019年“三位一体”综合评价招生章程》,经我院“三位一体”综合评价招生工作领导小组审定,确定384名考生入围(考生综合素质成绩入围最低分74.33分),现对入围考生名单进行公示。
公示时间:4月24日-5月8日,如有疑义,请在公示期内联系我院招生办,电话:0575-81112699。
附:浙江工业大学之江学院2019年“三位一体”综合评价招生入围考生名单(按姓氏首字母排序)


公示时间:4月24日-5月8日,如有疑义,请在公示期内联系我院招生办,电话:0575-81112699。
附:浙江工业大学之江学院2019年“三位一体”综合评价招生入围考生名单(按姓氏首字母排序)


欢迎2019年考生及家长扫码咨询,了解三位一体面试更多内容
咨询微信:swytms
三位一体公众号:sanweiyiti_org

咨询微信:swytms
三位一体公众号:sanweiyiti_org

400-800-8273