网站首页 政策解读 院校直击 备考指南 “三一”课程
400-800-8273
微信二维码

“码”上咨询三一面试申请

网站首页 政策解读 院校直击 备考指南 “三一”课程
  • 优朗全国

    400-800-8273

  • 微信公众号

    gangdamianshi

  • 中国优朗总部

    浙江.杭州市拱墅区湖墅南路356号锦绣大厦5层

首页 > 备考指南 >  面经分享

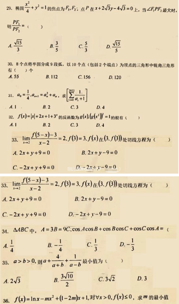
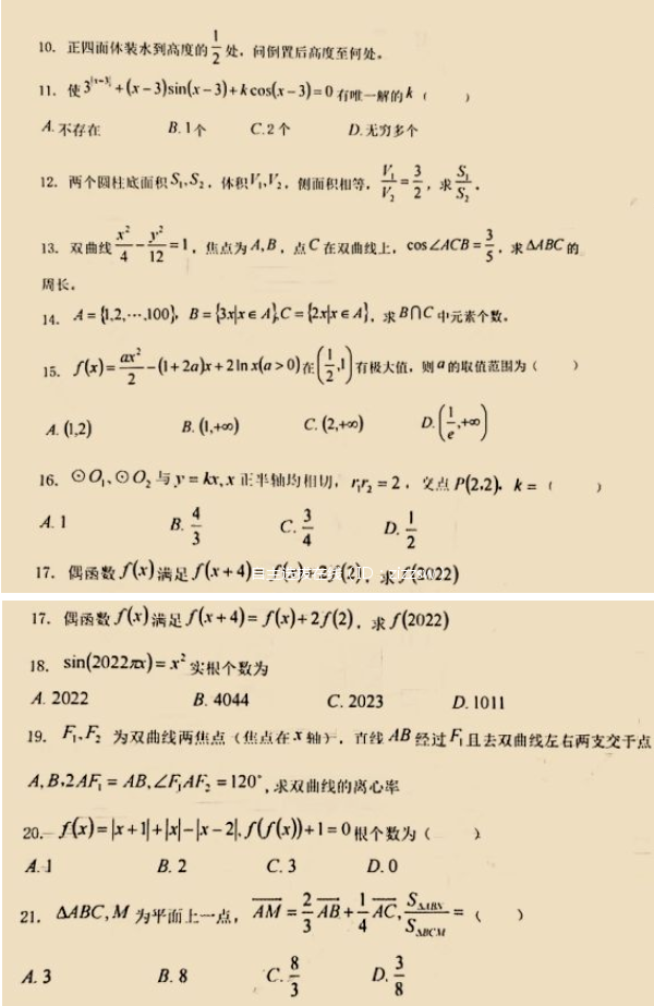
2022年上海交通大学强基计划校测试题

发布时间:2022-07-09 10:38:13    阅读量:

上一篇:2022年清华大学、北京大学强基计划部分校测真题汇总,主要考情分析
下一篇:2022年江苏综合评价校测考了哪些题?考情如何?【真题回顾】
热门文章
浙江6所高校三一考核须英文面试,面试形式及真题全汇 2023年浙江三位一体师范类报考及面试攻略 2023年浙江省属三位一体综合测试形式汇总 2023年浙江省属三位一体个人陈述写作要求 2023年浙江省属三位一体报考时间汇总 2023浙江省属三位一体报考条件汇总 多地发布2023年高考报名通知,涉及以下8省市,汇总如 什么是走读计划?哪些地市享受该政策?往年录取分数如 44项竞赛进入中小学生全国性竞赛活动“白名单”,释放 低分上名校,详解“三大专项计划”

杭州优朗出国留学服务有限公司 浙ICP备17045886号 合作:45212577@qq.com

总部:中国.浙江省.杭州市.拱墅区.湖墅南路356号5层
全国热线4008008273

杭州 | 宁波 | 温州 | 绍兴 | 嘉兴 | 金华 | 衢州 | 台州 | 丽水 | 舟山 | 德清 | 海宁 | 上虞 | 宁海 | 象山 | 余姚

400-800-8273 首页 政策解读 院校直击 备考指南 “三一”课程 友情链接 报名课程
在线咨询