浙江2022年1月学考选考科目、时间安排、赋分规则及注意事项
发布时间:2021-11-30 09:30:39 阅读量:
2022年1月学考选考将于1月6日开始,最近几天经常有同学和家长在后台留言询问1月学考考试时间安排,今天小编就把1月学考选考时间安排再重新推送一次。
学考考试科目:语文、数学、外语(含英语、日语、俄语、德语、法语、西班牙语)、思想政治、历史、地理、物理、化学、生物、技术(含信息技术、通用技术)。
选考考试科目:思想政治、历史、地理、物理、化学、生物、技术(含信息技术、通用技术)。
学考对象:浙江省高中阶段学校在校生和社会人员。
2020级(现高二)高中阶段学校在校生按年级定时定科统一安排考试,报考科目为物理、思想政治。
2019级(现高三)高中阶段学校在校生和社会人员报考科目为语文、数学、外语(含英语、日语、俄语、德语、法语、西班牙语)、思想政治、历史、地理、物理、化学、生物、技术(含信息技术、通用技术)。
选考对象:参加普通高校招生的高三学生和社会人员。考生在报考前须获得相应科目的学考合格及以上等级。
提醒:在校生高三第一学期结束前须完成各科目学考。外语首次考试“一考两用”,成绩既用于评定学业水平等级又可用于高考。
学考考试科目:语文、数学、外语(含英语、日语、俄语、德语、法语、西班牙语)、思想政治、历史、地理、物理、化学、生物、技术(含信息技术、通用技术)。
选考考试科目:思想政治、历史、地理、物理、化学、生物、技术(含信息技术、通用技术)。
学考对象:浙江省高中阶段学校在校生和社会人员。
2020级(现高二)高中阶段学校在校生按年级定时定科统一安排考试,报考科目为物理、思想政治。
2019级(现高三)高中阶段学校在校生和社会人员报考科目为语文、数学、外语(含英语、日语、俄语、德语、法语、西班牙语)、思想政治、历史、地理、物理、化学、生物、技术(含信息技术、通用技术)。
选考对象:参加普通高校招生的高三学生和社会人员。考生在报考前须获得相应科目的学考合格及以上等级。
提醒:在校生高三第一学期结束前须完成各科目学考。外语首次考试“一考两用”,成绩既用于评定学业水平等级又可用于高考。
考试时间

赋分规则
学考
卷面分值:2020级卷面分值100分。2019级语文、数学卷面分值100分,外语卷面分值150分,其余科目卷面分值70分。
成绩呈现:学考成绩采用等级制,设A、B、C、D、E共5个等级,E为不合格。以卷面得分为依据,A、B、C等按实考人数15%、30%、30%最接近的累计比例划定,E等比例不超过5%。
选考
2022年1月选考科目考试起,选考科目等级赋分的分差为1分。在原21等级基础上划分为20个赋分区间,将原第1(1%,100分)、第2(2%,97分)两个等级合并为一个赋分区间,其余不变。各对应区间内按等比例转换,四舍五入将卷面得分转换为等级分。各选考科目的保障基数确定为6.5万人。当某选考科目某次考试赋分人数少于保障数量时,以6.5万人为基数从高到低进行等级赋分。

赋分具体步骤为:
第一步,将卷面得分按人数比例划分为20个赋分区间,得出每个区间卷面得分的上限、下限。
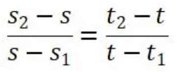
第二步,对每个区间的卷面得分进行等比例转换,公式为:

其中,s2、s1为卷面得分区间的上限和下限,s为待转换卷面得分;t2、t1为赋分区间的上限和下限,t为卷面得分等比例转换后的赋分。
第三步,将转换结果四舍五入后即为等级赋分。
举例说明:赋分区间为87-85,如对应的卷面得分区间为84-81,某考生的卷面得分为83,通过等比例转换:

可以得出t=86.3,四舍五入取整后的等级赋分为86分。
400-800-8273