2021年浙江省高考招生政策及志愿填报百问百答
发布时间:2021-06-16 09:48:19 阅读量:

1.我省高考共有几种招生模式?
答:我省高考主要有四种考试招生模式:一是统一高考招生。考试不分文理,考试科目分必考科目和选考科目,分别均为3门。必考科目为语文、数学和外语,选考科目由学生从思想政治、历史、地理、物理、化学、生物(学)、技术(含通用技术和信息技术)等7门科目中自主选择3门。二是高职提前招生。普通高中考生以高中学考成绩为基本依据,中职考生以全省统一组织的职业技能考试成绩为基本依据;实行“一档多投”,实现考生高校双向选择,考生可报考多所高校,同时被多所高校拟录取的考生自主选择确认1所录取高校。三是单独考试招生。面向中职学校包括中专学校、技工学校招生,实行全省统一单独考试,考试由文化课考试、职业技能考试两部分组成。文化课考试为语文、数学2门。拟报考有外语要求的学校、专业的考生,须先参加全国英语等级考试一级(PETS—1)及以上级别笔试,获得笔试合格成绩,方可报考相应专业。考生需按要求参加职业技能考试,在17个大类中自主选报一类,职业技能考试分理论知识和技能操作两部分。四是“三位一体”招生。高校依据考生统一高考、高中学考和综合素质评价成绩按比例合成综合成绩,择优录取。考生自主向相关高校报名,参加高校组织的综合素质测试,并按规定参加高考。高校确定综合素质测试内容和实施办法,着重考查学生的综合素质,以及学科性向、专业潜质等。
2.统一高考各科目如何计分?由谁命题?
答:必考科目语文、数学、外语每门满分150分,按得分计入考生总成绩。选考科目按等级赋分,每门满分100分,以高中学考成绩合格为赋分前提,根据事先公布的比例确定等级并赋分,起点赋分40分。考生满分750分。外语由教育部统一命题,其他各科均由我省自主命题。从2023年起,语文、数学和外语使用全国统一命题试卷。
3.高考科目有几次考试机会?何时考?成绩有效期如何规定?
答:语文、数学提供1次考试机会,考试安排在6月,成绩当年有效。外语和选考科目提供2次考试机会,分别安排在1月和6月,其中6月考试与高考语文、数学同期举行,考生自主选用其中1次成绩;自2021年1月考试起,外语和选考科目成绩当年有效。2020年外语和选考科目成绩仍可适用于2021年普通高校招生录取。
4.考生怎样选定选考科目?有何报考规则?
答:考生可以结合自己的兴趣特长,根据拟报考学校专业要求,从思想政治、历史、地理、物理、化学、生物(学)、技术(含通用技术和信息技术)等7个科目中,选择3科作为选考科目,每科至多参加2次考试。每一门选考科目,可由考生自己在考前选择,具体在实际报考该科目时确定。学生高三起参加选考科目考试,相应科目学考合格方能报考该科目的选考。
5.选考科目为什么采用等级赋分?
答:选考科目不使用卷面得分,而采用等级赋分,主要因为:(1)不同科目的卷面得分缺乏可比性。选考科目由考生自主选择,不同科目考试内容和难度有所不同,把不同科目考试卷面得分机械相加合成总成绩给考生排序不够合理。(2)不同科目实行等级分相对可比。等级分,是根据事先确定并公布的各科相同的比例,先按考生的卷面得分划定相应等级,再按等级赋分,相同的等级分数相同,进而使不同科目的分数具有相对可比性。(3)此外,考生考什么科目、什么时候考试,使用哪次考试成绩都由自己决定,对于实行等级分来说,考生选择机会和权力是平等的。
6.选考怎样赋分?如何细化?
答:选考科目以当次当科考试考生卷面得分为依据,按最接近的累计比例划定等级并按对应关系赋分,赋分以高中学考成绩合格为前提,起点赋分40分,每门满分100分。
注意:从2022年1月选考起,选考科目等级赋分的分差由3分改为1分。在原21等级基础上划分为20个赋分区间,将原第1(1%,100分)、第2(2%,97分)两个等级合并为一个赋分区间,其余不变。各对应区间内按等比例转换,四舍五入将卷面得分转换为等级分。

具体步骤为:
第一步,将卷面得分按人数比例划分为20个赋分区间,得出每个区间卷面得分的上限、下限。
第二步,对每个区间的卷面得分进行等比例转换,公式为:

其中,s2、s1为卷面得分区间的上限和下限,s为待转换卷面得分;t2、t1为赋分区间的上限和下限,t为卷面得分等比例转换后的赋分。
第三步,将转换结果四舍五入后即为等级赋分。
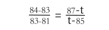
举例说明:赋分区间为87-85,如对应的卷面得分区间为84-81,某考生的卷面得分为83,通过等比例转换:

可以得出t=86.3,四舍五入取整后的等级赋分为86分。
7.为什么要建立选考科目保障机制?
答:选考科目保障机制是健全选考机制的重要组成部分,是针对学生自主选考出现某些科目人数异常下降、难以满足国家人才培养需要现象的合理调控措施。建立选考科目保障机制,有利于防止和抑制个别科目选考人数非正常下降趋势,有利于稳定考生预期、促进选课平衡。
8.选考科目的保障基数是如何考虑的?
答:根据《浙江省人民政府关于进一步深化高考综合改革试点的若干意见》和《浙江省普通高校招生选考科目考试实施办法》等有关规定,我省“率先建立物理选考科目保障机制,物理选考科目保障数量确定为6.5万人,当其他科目出现类似情况,参照物理办法建立并执行保障机制,具体办法由省教育行政部门负责制定实施”。物理保障机制启用后,对稳定预期、促进选课平衡起到了良好的作用。同时,各选考科目的保障基数实施一个统一的标准,也是保持各科目赋分规则一致、确保公平的需要。按照文件精神,综合各方面因素,2021年2月《浙江省教育厅关于进一步做好学考选考工作的通知》中明确各选考科目保障基数为6.5万人。当某选考科目某次考试赋分人数少于保障数量时,以6.5万人为基数从高到低进行等级赋分。
9.2020级学生学考何时考试,有哪些报考规则?
答:从2020年入学的高一学生开始,学考按年级定时定科统一安排,同一年级统一科目统一时间开考。各科目考试时间根据必修课程教学安排和“学完即考”的原则安排。普通高中在校生均须在规定时间参加相关科目的考试,每科考一次。如果某科目成绩等级不合格,可申请再次考试。
10.2020级学生学考各科目考试时间如何安排?分值是怎样的?
答:各科目考试时间为:高一下学期考历史、地理、化学、生物学;高二上学期考物理、思想政治;高二下学期考语文、数学、技术;高三上学期考外语,此次外语成绩既用于评定学业水平等级又可用于高考。外语卷面分值为150分,其余学考科目为100分。
11.2020级学生学考成绩怎么评定?
答:学考评卷工作全省统一组织实施。成绩采用等级制,设A、B、C、D、E共5个等级,E为不合格。以卷面得分为依据,A、B、C等按实考人数15%、30%、30%最接近的累计比例划定,E等比例不超过5%。经批准设立的内高班、内职班学生成绩等级单独划定。
12.2019级学考怎么考?是否和2020级学生分卷考试?
答:2019级学生按原学考办法执行,外语卷面分值150分,语文、数学卷面分值100分,其余科目卷面分值70分。2019级和2020级学生都会参加2021年7月的学考,考虑到两个年级的学生使用教材不同、知识结构有差异,届时将实行分卷考试,分别划分等级。
13.高考招生志愿填报对选考科目有啥要求?
答:院校各专业(类)的选考科目要求分为6类:1门科目,考生必须选考方可报考;2门科目,考生均需选考方可报考;2门科目,考生选考其中一门即可报考;3门科目,考生均需选考方可报考;3门科目,考生选考其中一门即可报考;不提科目要求。考生在选报志愿时,务必看清楚具体要求。
14.各招生模式怎样选择志愿?
答:在统一高考招生中,考生按“学校+专业”填报志愿,考生在选报“学校+专业”志愿时,自己的选考科目须符合高校有关专业选考科目要求。其中“专业(类)”志愿,既可以报考同一个高校中的不同专业(类),也可以是不同高校的同一专业(类),还可以是不同高校不同专业(类)。单独考试招生中,考生根据自己职业技能考试类别,按“学校+专业”填报志愿。在高职提前招生中,考生可以报考多所高校,一档多投;同时被多所高校拟录取的,由考生选择确认其中1所录取高校。在“三位一体”招生中,考生可根据自己的统一高考、高中学考和综合素质评价等综合情况,有针对性地自主选择填报相关高校志愿。
15.三位一体招生综合成绩怎样计算?
答:三位一体招生综合成绩是由统一高考、高中学考、综合素质评价成绩按比例合成。具体合成比例在高校招生章程中公布。目前,统一高考成绩占比一般不低于综合成绩的60%。
16.报考普通高校的中职生、往届生如何参加选考?
答:凡报考普通高校的中职生、往届生及其他没有学考成绩的社会考生需要提前完成相应科目的学考,学考合格后才可报考同科目选考。
17.普通高中毕业生可以报考单独考试招生吗?
答:不可以。与其他三种考试招生模式不同的是,单独考试招生是为适应中职教学特点和中职学生成长需要专门设计的,只有中职学校(含中专学校、职业高中、技工学校等)毕业生可报考单独考试招生。
18.哪些考生需要参加职业技能考试?怎样报考?
答:考生若报考单独考试招生、高职提前招生等有职业技能考试要求的院校专业,需按要求参加职业技能考试。职业技能考试共分17个大类,考生可以自主选报1个类别;各类别考试分理论知识和技能操作两部分,成绩满分300分。
注意:从2022年招生录取起,职业技能操作考试作为合格性考试,由省统一标准、市县组织,考试合格作为报考条件,职业技能理论知识考试仍全省统一组织。
答:我省高考主要有四种考试招生模式:一是统一高考招生。考试不分文理,考试科目分必考科目和选考科目,分别均为3门。必考科目为语文、数学和外语,选考科目由学生从思想政治、历史、地理、物理、化学、生物(学)、技术(含通用技术和信息技术)等7门科目中自主选择3门。二是高职提前招生。普通高中考生以高中学考成绩为基本依据,中职考生以全省统一组织的职业技能考试成绩为基本依据;实行“一档多投”,实现考生高校双向选择,考生可报考多所高校,同时被多所高校拟录取的考生自主选择确认1所录取高校。三是单独考试招生。面向中职学校包括中专学校、技工学校招生,实行全省统一单独考试,考试由文化课考试、职业技能考试两部分组成。文化课考试为语文、数学2门。拟报考有外语要求的学校、专业的考生,须先参加全国英语等级考试一级(PETS—1)及以上级别笔试,获得笔试合格成绩,方可报考相应专业。考生需按要求参加职业技能考试,在17个大类中自主选报一类,职业技能考试分理论知识和技能操作两部分。四是“三位一体”招生。高校依据考生统一高考、高中学考和综合素质评价成绩按比例合成综合成绩,择优录取。考生自主向相关高校报名,参加高校组织的综合素质测试,并按规定参加高考。高校确定综合素质测试内容和实施办法,着重考查学生的综合素质,以及学科性向、专业潜质等。
2.统一高考各科目如何计分?由谁命题?
答:必考科目语文、数学、外语每门满分150分,按得分计入考生总成绩。选考科目按等级赋分,每门满分100分,以高中学考成绩合格为赋分前提,根据事先公布的比例确定等级并赋分,起点赋分40分。考生满分750分。外语由教育部统一命题,其他各科均由我省自主命题。从2023年起,语文、数学和外语使用全国统一命题试卷。
3.高考科目有几次考试机会?何时考?成绩有效期如何规定?
答:语文、数学提供1次考试机会,考试安排在6月,成绩当年有效。外语和选考科目提供2次考试机会,分别安排在1月和6月,其中6月考试与高考语文、数学同期举行,考生自主选用其中1次成绩;自2021年1月考试起,外语和选考科目成绩当年有效。2020年外语和选考科目成绩仍可适用于2021年普通高校招生录取。
4.考生怎样选定选考科目?有何报考规则?
答:考生可以结合自己的兴趣特长,根据拟报考学校专业要求,从思想政治、历史、地理、物理、化学、生物(学)、技术(含通用技术和信息技术)等7个科目中,选择3科作为选考科目,每科至多参加2次考试。每一门选考科目,可由考生自己在考前选择,具体在实际报考该科目时确定。学生高三起参加选考科目考试,相应科目学考合格方能报考该科目的选考。
5.选考科目为什么采用等级赋分?
答:选考科目不使用卷面得分,而采用等级赋分,主要因为:(1)不同科目的卷面得分缺乏可比性。选考科目由考生自主选择,不同科目考试内容和难度有所不同,把不同科目考试卷面得分机械相加合成总成绩给考生排序不够合理。(2)不同科目实行等级分相对可比。等级分,是根据事先确定并公布的各科相同的比例,先按考生的卷面得分划定相应等级,再按等级赋分,相同的等级分数相同,进而使不同科目的分数具有相对可比性。(3)此外,考生考什么科目、什么时候考试,使用哪次考试成绩都由自己决定,对于实行等级分来说,考生选择机会和权力是平等的。
6.选考怎样赋分?如何细化?
答:选考科目以当次当科考试考生卷面得分为依据,按最接近的累计比例划定等级并按对应关系赋分,赋分以高中学考成绩合格为前提,起点赋分40分,每门满分100分。
注意:从2022年1月选考起,选考科目等级赋分的分差由3分改为1分。在原21等级基础上划分为20个赋分区间,将原第1(1%,100分)、第2(2%,97分)两个等级合并为一个赋分区间,其余不变。各对应区间内按等比例转换,四舍五入将卷面得分转换为等级分。

具体步骤为:
第一步,将卷面得分按人数比例划分为20个赋分区间,得出每个区间卷面得分的上限、下限。
第二步,对每个区间的卷面得分进行等比例转换,公式为:

其中,s2、s1为卷面得分区间的上限和下限,s为待转换卷面得分;t2、t1为赋分区间的上限和下限,t为卷面得分等比例转换后的赋分。
第三步,将转换结果四舍五入后即为等级赋分。
举例说明:赋分区间为87-85,如对应的卷面得分区间为84-81,某考生的卷面得分为83,通过等比例转换:

可以得出t=86.3,四舍五入取整后的等级赋分为86分。
7.为什么要建立选考科目保障机制?
答:选考科目保障机制是健全选考机制的重要组成部分,是针对学生自主选考出现某些科目人数异常下降、难以满足国家人才培养需要现象的合理调控措施。建立选考科目保障机制,有利于防止和抑制个别科目选考人数非正常下降趋势,有利于稳定考生预期、促进选课平衡。
8.选考科目的保障基数是如何考虑的?
答:根据《浙江省人民政府关于进一步深化高考综合改革试点的若干意见》和《浙江省普通高校招生选考科目考试实施办法》等有关规定,我省“率先建立物理选考科目保障机制,物理选考科目保障数量确定为6.5万人,当其他科目出现类似情况,参照物理办法建立并执行保障机制,具体办法由省教育行政部门负责制定实施”。物理保障机制启用后,对稳定预期、促进选课平衡起到了良好的作用。同时,各选考科目的保障基数实施一个统一的标准,也是保持各科目赋分规则一致、确保公平的需要。按照文件精神,综合各方面因素,2021年2月《浙江省教育厅关于进一步做好学考选考工作的通知》中明确各选考科目保障基数为6.5万人。当某选考科目某次考试赋分人数少于保障数量时,以6.5万人为基数从高到低进行等级赋分。
9.2020级学生学考何时考试,有哪些报考规则?
答:从2020年入学的高一学生开始,学考按年级定时定科统一安排,同一年级统一科目统一时间开考。各科目考试时间根据必修课程教学安排和“学完即考”的原则安排。普通高中在校生均须在规定时间参加相关科目的考试,每科考一次。如果某科目成绩等级不合格,可申请再次考试。
10.2020级学生学考各科目考试时间如何安排?分值是怎样的?
答:各科目考试时间为:高一下学期考历史、地理、化学、生物学;高二上学期考物理、思想政治;高二下学期考语文、数学、技术;高三上学期考外语,此次外语成绩既用于评定学业水平等级又可用于高考。外语卷面分值为150分,其余学考科目为100分。
11.2020级学生学考成绩怎么评定?
答:学考评卷工作全省统一组织实施。成绩采用等级制,设A、B、C、D、E共5个等级,E为不合格。以卷面得分为依据,A、B、C等按实考人数15%、30%、30%最接近的累计比例划定,E等比例不超过5%。经批准设立的内高班、内职班学生成绩等级单独划定。
12.2019级学考怎么考?是否和2020级学生分卷考试?
答:2019级学生按原学考办法执行,外语卷面分值150分,语文、数学卷面分值100分,其余科目卷面分值70分。2019级和2020级学生都会参加2021年7月的学考,考虑到两个年级的学生使用教材不同、知识结构有差异,届时将实行分卷考试,分别划分等级。
13.高考招生志愿填报对选考科目有啥要求?
答:院校各专业(类)的选考科目要求分为6类:1门科目,考生必须选考方可报考;2门科目,考生均需选考方可报考;2门科目,考生选考其中一门即可报考;3门科目,考生均需选考方可报考;3门科目,考生选考其中一门即可报考;不提科目要求。考生在选报志愿时,务必看清楚具体要求。
14.各招生模式怎样选择志愿?
答:在统一高考招生中,考生按“学校+专业”填报志愿,考生在选报“学校+专业”志愿时,自己的选考科目须符合高校有关专业选考科目要求。其中“专业(类)”志愿,既可以报考同一个高校中的不同专业(类),也可以是不同高校的同一专业(类),还可以是不同高校不同专业(类)。单独考试招生中,考生根据自己职业技能考试类别,按“学校+专业”填报志愿。在高职提前招生中,考生可以报考多所高校,一档多投;同时被多所高校拟录取的,由考生选择确认其中1所录取高校。在“三位一体”招生中,考生可根据自己的统一高考、高中学考和综合素质评价等综合情况,有针对性地自主选择填报相关高校志愿。
15.三位一体招生综合成绩怎样计算?
答:三位一体招生综合成绩是由统一高考、高中学考、综合素质评价成绩按比例合成。具体合成比例在高校招生章程中公布。目前,统一高考成绩占比一般不低于综合成绩的60%。
16.报考普通高校的中职生、往届生如何参加选考?
答:凡报考普通高校的中职生、往届生及其他没有学考成绩的社会考生需要提前完成相应科目的学考,学考合格后才可报考同科目选考。
17.普通高中毕业生可以报考单独考试招生吗?
答:不可以。与其他三种考试招生模式不同的是,单独考试招生是为适应中职教学特点和中职学生成长需要专门设计的,只有中职学校(含中专学校、职业高中、技工学校等)毕业生可报考单独考试招生。
18.哪些考生需要参加职业技能考试?怎样报考?
答:考生若报考单独考试招生、高职提前招生等有职业技能考试要求的院校专业,需按要求参加职业技能考试。职业技能考试共分17个大类,考生可以自主选报1个类别;各类别考试分理论知识和技能操作两部分,成绩满分300分。
注意:从2022年招生录取起,职业技能操作考试作为合格性考试,由省统一标准、市县组织,考试合格作为报考条件,职业技能理论知识考试仍全省统一组织。
三段改两段重点提示
1.高考普通类录取分段由三段改为两段后,各段分数线怎样划定?
答:我省2020年高考综合改革试点完善方案规定,普通类录取分段由三段改为两段,从2021年招生录取起实施。2021年高考普通类新一段线按实考人数的60%划定,新二段线按实考人数的90%划定。另按实考人数的20%划定特殊类型招生控制线,用于强基计划、军校等提前录取或特殊类型的招生录取。
2.普通类录取分段由三段改为两段后,提前录取志愿如何填报?
答:符合提前录取相关院校、专业报考条件的新一、二段考生在6月29-30日一并填报志愿。考生可填报不超过5个院校志愿,每个院校志愿可填报不超过6个专业志愿和专业服从志愿,不设院校服从志愿。投档录取按新一段线、新二段线分段,再根据志愿顺序依次进行。考生填报志愿时,要注意高校(专业)的最低文化成绩要求。
3.普通类录取分段由三段改为两段后,考生志愿怎样选择和定位?
答:高考普通类录取由三段变两段后,考生位次还是按高考成绩从高到低一次性生成,与分段没有关系,不会因为段次变化而改变。专业平行志愿投档录取时按考生位次从高到低投档的规则也不会改变。
考生选报专业平行志愿时,仍可将位次作为志愿选择定位的核心依据,并可以将近年相关院校专业的投档位次、录取平均分、今年高考成绩分段表等作为重要参考;“冲一冲”“稳一稳”“保一保”的志愿填报参考策略仍然适用,提醒考生注意理性选报合理定位。
4.考生怎样熟悉志愿选报流程?
答:为方便广大考生熟悉网上志愿填报操作,确保高考志愿填报顺利进行,浙江省教育考试院网站(www.zjzs.net)于6月11-17日开放网上填报志愿模拟系统,供考生提前进行模拟练习,并于17日关闭系统并清空所有模拟练习填报的志愿信息数据。
同时,省教育考试院在6月16-20日主办“高考志愿填报云咨询周”活动,组织在浙招生高校提供视频宣讲、答疑服务,考生和家长可在相应的直播间收看宣讲、参与互动咨询,足不出户与高校“面对面”交流,方便及时地掌握权威招生资讯和志愿填报方法策略。
5.今年分段志愿填报时间如何安排?
答:普通类提前录取和第一段、艺术类第一批(含艺术类三位一体招生)和第二批第一段、体育类第一段同时填报志愿,填报时间为6月29-30日;普通类第二段、艺术类第二批第二段和体育类第二段同时填报志愿,填报时间为7月24-25日。
6.高考普通类录取三段改为两段后,考生填报志愿需注意什么?
答:考生需按规定及时登录浙江省教育考试院网站(www.zjzs.net)填报志愿。6月29-30日期间,需填报志愿的科类、批次比较多,考生比较集中,提醒考生尽量提前准备、错峰填报,注意志愿填报截止时间,以最后一次提交志愿为准,要防止上网高峰拥堵或临时停电等突发情况。
新一段线上考生如果无法被所填报的志愿录取,将与新二段线上考生一起再次填报志愿。因此,新一段线上考生应尽量选报足量志愿,保持较大的志愿梯度,至少分三个层次,并有一定数量的“保一保”志愿进行充分保底。其中高分段考生,需注意整体定位不宜过高,否则将导致风险放大;低分段考生,可扩大填报优质高职高专专业志愿范围。此外,还要注意院校专业选考范围要求,比如未选考物理等科目的考生选报专业志愿范围相对较小,要特别注意理性选择,合理定位。另外,我省部分省属优质高校预留了100个本科计划,在一段投档录取后、二段填报志愿时,供符合条件的一段线上未录取考生自主选报。
7.新一段线上的考生是否都能上本科专业?
答:新一段线不是本科线,新一段线上的考生不一定都能上本科。新一段线按考生实考人数的60%划定,考生数大于本科招生计划数。
同时,各院校专业选考范围不同,每位考生选考和报考情况不同,新一段线上考生录取在本科的机会也不同。高考总分相对较高的考生,若未合理定位和选报也可能录取到高职或专科志愿。考生需注意结合选考情况、位次理性选报志愿,并保持合理的心理预期。
一、 基本情况
1.高考招生志愿填报前,考生要做哪些功课准备?
答:(1)仔细查阅我院公布的2021年高校招生计划。(2)认真研读报考院校当年招生章程,其中特别是各专业对考生的要求,如选考科目、体检、外语语种、单科成绩、综合素质评价等是否符合报考条件。(3)参考我院编写的《浙江省普通高校招生投档及专业录取情况》,认真分析前三年(2018-2020年)有关招生院校和专业的录取信息。(4)了解我省高考招生录取的相关办法和规定,知晓自己所在类别的志愿设置和相应投档录取规则。收集分析多种信息,结合自己的学习兴趣、专业性向和未来发展规划,综合考虑,慎重抉择。
2.高考招生志愿填报,我省提供哪些参考材料?
答:(1)2021年普通高校招生计划。纸质版图书分普通类、艺体类和单独考试招生三本,在6月下旬填报志愿前出版,内容包括院校、专业(类)、层次、选考科目要求、计划数、学制、学费参考等;电子版在填报志愿时提供按选考科目、院校地域等条件的筛选功能,方便考生查询。(2)前三年各院校专业录取平均分、最低分和相应位次等信息。已在《浙江省普通高校招生投档及专业录取情况》(2018-2020年)三本图书中公布。(3)2021年考生成绩和各类别总分(或综合分)一分一段表。填报志愿前将在浙江省教育考试院网站(www.zjzs.net)公布。
3.高校招生章程包含哪些内容?
答:高校招生章程通常包括以下内容:全称,校址,层次,办学类型,招生计划,各专业对考生身体健康状况、选考科目、外语语种等要求,录取规则,综合素质评价使用办法,学费标准,学生资助政策,联系电话、网址,以及其他须知等。高校有特殊要求的,也会在招生章程中明确。
4.阅读高校招生章程要注意哪些问题?
答:在阅读高校招生章程时,除了要看高校性质、层次、办学类型、收费标准等情况外,需要注意的问题还有很多。如精准了解高校专业的报考要求,尤其要注意那些对选考科目、单科成绩、学考等级、体检、男女生录取比例等有明确要求的专业。这些信息可以帮助你了解是否符合专业报考条件。不符合的,一定要规避填报。
考生还要认真阅读录取原则,弄清规则的具体含义。如“投档比例”“综合评价、择优录取”“退档”等术语,必要时通过查阅资料、向高校咨询等方式来弄清其具体含义,以便根据自身情况,采取针对性策略。
5.在哪里查阅高校招生章程?
答:主要有三种途径:(1)中国高等教育学生信息网的“阳光高考”招生信息发布及管理平台(http://gaokao.chsi.com.cn);(2)浙江省教育考试院网站(www.zjzs.net)“院校招生章程”栏目(直接链接教育部阳光高考平台);(3)各高校官方网站相关招生栏目。
6.高考招生志愿填报一般要考虑哪些因素?
答:填报高考志愿,考生要结合国家、社会需要和自身实际,遵循“以成绩为基础,以就业为导向,以发展为目标”的原则。
需重点考虑:(1)成绩高低。这是考生被录取的基础因素,直接决定了可选择的院校的层次和专业去向。包括总分或单科成绩、位次等。考生还要注意院校对高中综合素质评价提出的具体要求。(2)院校综合情况。院校是考生选择志愿的重要因素,将决定与哪些人在一起学习、到哪里去学习、学些什么。考生在选择时,既要看院校的历史、地域,也要看院校综合办学实力。(3)专业和就业。专业是考生志愿选择的核心因素,一般关系到大学学习的兴趣和职业趋向。重点大学有优势专业、普通院校也有特色专业,是院校优先还是专业优先,不能一概而论;考生要选自己喜欢、符合个性特长及院校选考科目范围的专业,否则院校档次再高也不选报。专业选择与经济社会发展的趋势有关,有的专业报考很热门,但到了就业时却成了冷门,需要理性判断。(4)身体等条件。专业与身体状况有关联,有的专业受视力、色觉、器质性健康状况的限制;部分院校按专业学习要求,会对单科成绩和外语口语等方面提出规定;独立学院、民办院校和中外合作专业收费较高,其志愿选报还应考虑家庭经济状况。
7.高考招生有哪些录取类别?
答:高考招生录取分普通类、艺术类、体育类进行。
8.高考普通类录取分段由三段改为两段后,各段分数线怎样划定?
答:我省2020年高考综合改革试点完善方案规定,普通类录取分段由三段改为两段,从2021年招生录取起实施。2021年高考普通类新一段线按实考人数的60%划定,新二段线按实考人数的90%划定。另按实考人数的20%划定特殊类型招生控制线,用于强基计划、军校等提前录取或特殊类型的招生录取。
9.高考招生各类别分段线何时公布?
答:各类别分段线在考生高考成绩发布时一并确定并公布。
10.高考招生各专业录取线怎样确定?
答:各专业录取线不是事先划定的,而是投档后自然形成的。每段投档录取后,省教育考试院将公布该段次各专业录取最低分和位次号。
11.各院校在浙江招生计划怎样查询?
答:2021年浙江招生计划将通过书面与网络公布。首轮志愿填报时,第一段考生可通过招生计划书或登录浙江省教育考试院网站(www.zjzs.net)进入浙江省高校招生考试信息管理系统中的“计划查询”查看(下载)各院校在浙招生计划。由于录取分二段,在第一段录取结束后高校专业计划会有变化,因此第二轮志愿填报时,剩余计划仅通过网络公布。考生可以通过浙江省教育考试院网站进入浙江省高校招生考试信息管理系统中的“计划查询”,查看各院校剩余可以报考的招生计划。
12.高考招生志愿填报方式有变化吗?
答:没变化。高考实行网上填报志愿的方式,浙江省教育考试院网站(www.zjzs.net)为填报志愿的唯一网站。网报志愿后不进行现场确认。
13.今年分段志愿填报时间如何安排?
答:普通类提前录取和第一段、艺术类第一批(含艺术类三位一体招生)和第二批第一段、体育类第一段同时填报志愿,填报时间为6月29-30日;普通类第二段、艺术类第二批第二段和体育类第二段同时填报志愿,填报时间为7月24-25日。
14.考生怎样熟悉志愿选报流程?
答:为方便广大考生熟悉网上志愿填报操作,确保高考志愿填报顺利进行,浙江省教育考试院网站(www.zjzs.net)于6月11-17日开放网上填报志愿模拟系统,供考生提前进行模拟练习,并于17日关闭系统并清空所有模拟练习填报的志愿信息数据。
同时,省教育考试院在6月16-20日主办“高考志愿填报云咨询周”活动,组织在浙招生高校提供视频宣讲、答疑服务,考生和家长可在相应的直播间收看宣讲、参与互动咨询,足不出户与高校“面对面”交流,方便及时地掌握权威招生资讯和志愿填报方法策略。
15.2021年高考招生志愿填报对选考科目有什么要求?
答:院校各专业(类)的选考科目要求分为6类:1门科目,考生必须选考方可报考;2门科目,考生均需选考方可报考;2门科目,考生选考其中一门即可报考;3门科目,考生均需选考方可报考;3门科目,考生选考其中一门即可报考;不提科目要求,考生选考无限制,均可报考。考生在填报志愿时,务必看清楚具体要求。
16.怎样理解考生位次?
答:考生位次,就是考生高考成绩在相应招考类别中的全省排位,是新高考分段投档录取的核心依据。在选考科目符合要求的前提下,位次在前的考生先投档;位次相同,则志愿顺序在前的考生先投档,全部相同的则全部投档。
17.什么是传统志愿?
答:传统志愿就是顺序志愿,是指在同一个录取批次设置的多个院校志愿有先后顺序,如第一志愿、第二志愿等,每个志愿只包括一所院校。传统志愿的投档原则是“志愿优先”,考生的高考志愿是投档的第一要素。传统志愿投档时,对选报同一志愿院校的考生按院校确定的录取原则、调档比例从高分到低分进行投档,也就是说每所院校各排各的队。
18.什么是平行志愿?
答:平行志愿是指高考招生同一类别、同一投档段次中若干具有相对平行关系的志愿。平行志愿投档原则是“分数优先、遵循志愿”,先从最高分考生开始,依次检索和投档,当轮到检索某一考生时,遵循该考生所填报的志愿顺序检索,当符合投档条件时即被投档。
19.传统志愿和平行志愿的区别是什么?
答:(1)传统志愿里考生填报的志愿有第一、第二……之分,平行志愿里填报的每个志愿在投档时都作为第一志愿;(2)传统志愿按“志愿优先”原则投档,首先考虑第一志愿的上线考生,只有第一志愿生源不够时才会投档第二志愿的考生,第三志愿类推;平行志愿按“分数优先”的原则投档,对院校而言考生的志愿没有先后之分;(3)传统志愿里一个考生可能有多次投档机会,平行志愿在每一轮次里一个考生只有一次投档机会。
20.什么是专业平行志愿?
答:专业平行志愿,是新高考招生同一类别、同一段次中若干具有相对平行关系的专业(类)志愿,以一所院校的一个专业(类)为志愿单位,按照“分数优先、遵循志愿”进行投档。不同于以往以院校为志愿单位投档的院校平行志愿,专业平行志愿投档时,直接投档到某院校某专业(类),不存在专业服从调剂,考生也不用担心被调剂到自己不喜欢的专业。
21.为什么实行专业平行志愿?
答:从院校平行志愿到专业平行志愿,体现了以生为本的招生录取原则。一是可解决令考生纠结的不能录取到自己喜欢专业的问题,扩大考生在录取环节的选择权,让考生“录其所愿”;二是有利于倒逼高校优化专业结构、加强专业内涵建设、办出专业特色,有利于改变高等院校专业设置的同质化现象;三是新高考实行选考后,各专业对学生选考科目的要求不一致,以院校为单位的传统投档模式实际也已无法实施。
22.专业平行志愿投档后有退档风险吗?哪些因素会造成退档?
答:有退档风险。考生的体检、单科成绩、外语语种、英语口试、学考等级、综合素质评价等因素不符合高校要求的,都有可能造成退档,这些因素由高校根据招生需要自主设定,并在高校招生章程中公布。这些因素在投档系统中不设置为限制投档条件,一旦投档到某个高校的专业,又不符合高校招生章程的要求就会造成退档。因此考生在填报志愿时一定要认真查看高校招生章程,防止因误报而被退档,从而失去这一段录取的机会。
23.考生投档后又被退档,能再补投到后面的专业平行志愿吗?
答:不能。若投档后被退档,说明一轮一次的机会已经使用,其他专业平行志愿也不能再投档,只能参加剩余计划的下一段志愿填报和投档。
24.每段(次)专业平行志愿有几次投档机会?
答:每一段专业平行志愿均实行一轮投档,考生只有一次投档机会,一旦被投档到其中一个专业志愿,其余专业志愿即失效。
25.专业平行志愿填报有哪些参考策略?
答:填报高考志愿方法很多,可根据不同情况先选院校再选专业,或者先选专业再选院校,只要适合自己就好。这里梳理了一种建议性思路供大家参考,可分三步考虑:
第一步,选择不同梯次的院校。根据考生位次和总分(艺体类为综合分)分段表、各校往年投档线等资料,选择不同梯次的院校。可以使用“冲一冲、稳一稳、保一保”的方法选择院校。第二步,筛选不同梯次的专业。从选定的院校中,根据往年专业录取情况,将其中不喜欢的专业或是估计录取可能性不大的专业删除,筛选出拟报考的不同梯次的专业。第三步,根据个人意愿,综合考虑院校性质、地域、喜欢程度等因素,从高到低排列,正式确定志愿。这里要特别提醒,考生在填报志愿时一定要特别重视院校的招生章程,确保符合报考条件。
26.高考招生录取何时开始?用什么方式录取?
答:今年高考招生录取将于7月上旬开始,仍实行计算机远程网上录取,各高校采取远程异地录取方式招生。
27.中学综合素质评价在高考招生中发挥什么作用?
答:高考招生中,综合素质评价的使用权在高校。在三位一体招生中,作为报考条件和初次遴选的主要依据之一;在高职提前招生中,高校将中学综合素质评价作为选拔录取参考,纳入到综合评价内容;在统一高考招生中,高校可事先对考生高中综合素质评价提出要求,作为录取参考。
28.今年我省高考加分政策有哪些规定?
答:烈士子女、在服役期间荣立二等功以上或被战区以上单位授予荣誉称号的退役军人,可以在其统考成绩总分的基础上加20分投档,由高校审查决定是否录取。
我省景宁畲族自治县、民族乡(镇)、民族村的少数民族考生(以户籍为准),归侨、华侨子女、归侨子女和台湾省籍(含台湾户籍)考生,自主就业的退役士兵,可以在其统考成绩总分的基础上加5分投档,由高校审查决定是否录取。
户籍在景宁畲族自治县,且在当地完整完成高中阶段教育的非少数民族考生,报考我省所属高校,可以在其统考成绩总分的基础上加3分投档,由高校审查决定是否录取。
所有高考加分项目及分值均不得用于不安排分省分专业招生计划的招生项目。
29.符合多项加分条件的考生分数该怎么加?
答:同时符合多项加分条件的考生,只能取其中幅度最大的一项分值加分,不得累加。
30.高校录取新生的主要依据是什么?
答:考生电子档案是高校录取新生的主要依据。主要包括考生基本信息、综合素质评价信息、体检信息、志愿信息、高考成绩信息、考生参加高校招生考试的诚信记录等内容。
31.什么是“双一流”?
答: 建设世界一流大学和一流学科,简称“双一流”。这是我国高等教育领域继“211工程”、“985工程”之后的又一国家战略。教育部、财政部、国家发展改革委《关于公布世界一流大学和一流学科建设高校及建设学科名单的通知》,公布首批“双一流”建设高校共137所,其中一流大学建设高校42所(A类36所,B类6所),一流学科建设高校95所;“双一流”建设学科共465个。
32.我省有哪些高校专业入选“双一流”?
答:在首批公布的“双一流”名单中,我省浙江大学入选世界一流大学建设高校,共有化学、生物学、生态学、机械工程、光学工程等18个学科入选一流学科建设名单。中国美术学院和宁波大学入选一流学科建设高校,其中中国美术学院入选一流学科建设的为美术学,宁波大学入选一流学科建设的为力学。
33.什么是省属重点建设高校?
答:2014年,为加快提升我省高等教育办学水平和综合竞争力,浙江省启动“省重点高校建设计划”。中国美术学院、浙江工业大学、浙江师范大学、宁波大学、杭州电子科技大学等5所高校入选首批重点建设高校。2017年,浙江理工大学、浙江工商大学、浙江中医药大学、浙江农林大学、温州医科大学、浙江财经大学、杭州师范大学入选第二批省重点建设高校。2019年,我省以“省市共建”方式支持温州大学、浙江海洋大学、中国计量大学创建一流学科。
二、 普通类志愿填报及投档录取
34.普通类提前录取有哪些院校专业?
答:有政审、面试、体检等特殊要求的军事、公安、定向招生、三位一体综合评价招生、定向培养士官试点,及经过批准的国际关系学院、外交学院、北京电子科技学院、香港中文大学、香港城市大学等院校、航海类等专业,实行提前录取。
35.普通类录取分段由三段改为两段后,提前录取志愿如何填报?
答:符合提前录取相关院校、专业报考条件的新一、二段考生在6月29-30日一并填报志愿。考生可填报不超过5个院校志愿,每个院校志愿可填报不超过6个专业志愿和专业服从志愿,不设院校服从志愿。投档录取按新一段线、新二段线分段,再根据志愿顺序依次进行。考生填报志愿时,要注意高校(专业)的最低文化成绩要求。
36.普通类提前录取流程是怎样的?
答:提前录取的院校(专业)根据普通类的分段原则,考生一次性填报志愿,分段进行录取。每段录取时,根据志愿优先(传统志愿)原则,按高考总分从高分到低分顺序投档录取。
37.普通类提前录取的投档比例是多少?
答:普通类提前录取的投档比例不超过1:1.2。考生总分相同时按位次投档。其中,按规定须在投档前先进行政审、面试、体检等工作的,按比例分段提供考生名单,统一组织政审、体检、面试。
38.普通类提前录取的投档顺序是怎么安排的?
答:强基计划,浙江大学、复旦大学、上海交通大学、中国科学院大学四所高校三位一体招生,浙江警察学院三位一体综合评价招生,均在普通类提前录取工作开始前先完成录取;接着进行军队、公安、定向招生、地方属院校三位一体综合评价招生,及经过批准的国际关系学院等院校、航海类等专业的提前录取传统志愿投档和录取;其中,提前录取一段投档录取完成后,进行高校专项计划、高水平艺术团、高水平运动队、地方专项计划等特殊类型招生投档和录取。
39.提前录取院校专业对考生是否有文化成绩要求?
答:提前录取院校(专业)可参考我省普通类分段线,在第二段线上提出最低文化成绩要求。
40.提前录取院校进行专业调剂时,考生是否需满足其各专业选考科目要求?
答:须以考生符合专业选考科目要求为前提。
41.已被提前录取的考生,还有机会参加其他院校专业录取吗?
答:已被录取的考生,不再参加后续志愿投档和录取。未录取的考生不影响后续志愿投档和录取。
42.普通类平行录取志愿怎样设置?
答:普通类平行录取实行专业平行志愿,以一所院校的一个专业(类)作为一个独立的志愿单位,考生每次可填报不超过80个志愿。
43.普通类平行录取何时填报志愿?
答:普通类平行录取考生分二段填报专业平行志愿。其中第一段志愿填报安排在6月29-30日;第二段安排在7月24-25日填报志愿。
44.普通类平行志愿填报及录取流程是怎样的?
答:实行分段填报志愿、分段投档录取。第一段考生先填报志愿,在投档录取后剩余计划重新公布,未被录取的第一段考生和第二段考生填报志愿,再组织投档录取。第二段志愿填报和录取后,如仍有院校专业(类)未完成计划的,实行征求志愿。
45.普通类录取分段由三段改为两段后,考生志愿怎样选择和定位?
答:高考普通类录取由三段变两段后,考生位次还是按高考成绩从高到低一次性生成,与分段没有关系,不会因为段次变化而改变。专业平行志愿投档录取时按考生位次从高到低投档的规则也不会改变。
考生选报专业平行志愿时,仍可将位次作为志愿选择定位的核心依据,并可以将近年相关院校专业的投档位次、录取平均分、今年高考成绩分段表等作为重要参考;“冲一冲”“稳一稳”“保一保”的志愿填报参考策略仍然适用,提醒考生注意理性选报合理定位。
46.普通类专业平行志愿的投档比例是多少?
答:普通类专业平行志愿的投档比例为1:1。以考生符合所填报志愿的选考科目范围为前提,根据考生高考总分,实行专业平行志愿投档,直接投到考生所填报的具体院校的具体专业(类)。
47.普通类平行志愿中,总分相同的考生如何确定投档顺序?
答:高考总分相同的考生,依据位次、志愿顺序投档,全部相同者一并投档。
48.普通类考生位次怎样确定?
答:普通类考生位次按所有考生高考总分由高到低排序确定。高考总分相同时,先后按文化总分、语文数学总分、语文或数学单科成绩、外语单科成绩、选考科目单科成绩高低排序,全部相同者为同位次。
49.普通类80个专业平行志愿都是第一志愿,有无先后之分?
答:对院校专业来说,没有先后之分。不管是第1个还是第80个志愿填报的,一旦投到该院校专业,系统显示的志愿均为一志愿。
对考生来说,有先后之分。专业平行志愿投档依据考生位次、志愿顺序进行。计算机对考生所填报的80个志愿依次进行检索,先检索第1志愿,符合条件就投档,不符合条件立即检索第2志愿,依此类推。一旦检索到符合条件的志愿并投档,后续志愿立即同时失效。80个志愿中即使有多个符合条件的志愿,也只有一次投档机会,只投档到排在最前面的那个符合条件的志愿。所以对考生来说,精心安排志愿次序非常重要。
50.高考普通类录取三段改为两段后,考生填报志愿需注意什么?
答:考生需按规定及时登录浙江省教育考试院网站(www.zjzs.net)填报志愿。6月29-30日期间,需填报志愿的科类、批次比较多,考生比较集中,提醒考生尽量提前准备、错峰填报,注意志愿填报截止时间,以最后一次提交志愿为准,要防止上网高峰拥堵或临时停电等突发情况。
新一段线上考生如果无法被所填报的志愿录取,将与新二段线上考生一起再次填报志愿。因此,新一段线上考生应尽量选报足量志愿,保持较大的志愿梯度,至少分三个层次,并有一定数量的“保一保”志愿进行充分保底。其中高分段考生,需注意整体定位不宜过高,否则将导致风险放大;低分段考生,可扩大填报优质高职高专专业志愿范围。此外,还要注意院校专业选考范围要求,比如未选考物理等科目的考生选报专业志愿范围相对较小,要特别注意理性选择,合理定位。另外,我省部分省属优质高校预留了100个本科计划,在一段投档录取后、二段填报志愿时,供符合条件的一段线上未录取考生自主选报。
51.新一段线上的考生是否都能上本科专业?
答:新一段线不是本科线,新一段线上的考生不一定都能上本科。新一段线按考生实考人数的60%划定,考生数大于本科招生计划数。
同时,各院校专业选考范围不同,每位考生选考和报考情况不同,新一段线上考生录取在本科的机会也不同。高考总分相对较高的考生,若未合理定位和选报也可能录取到高职或专科志愿。考生需注意结合选考情况、位次理性选报志愿,并保持合理的心理预期。
答:有政审、面试、体检等特殊要求的军事、公安、定向招生、三位一体综合评价招生、定向培养士官试点,及经过批准的国际关系学院、外交学院、北京电子科技学院、香港中文大学、香港城市大学等院校、航海类等专业,实行提前录取。
35.普通类录取分段由三段改为两段后,提前录取志愿如何填报?
答:符合提前录取相关院校、专业报考条件的新一、二段考生在6月29-30日一并填报志愿。考生可填报不超过5个院校志愿,每个院校志愿可填报不超过6个专业志愿和专业服从志愿,不设院校服从志愿。投档录取按新一段线、新二段线分段,再根据志愿顺序依次进行。考生填报志愿时,要注意高校(专业)的最低文化成绩要求。
36.普通类提前录取流程是怎样的?
答:提前录取的院校(专业)根据普通类的分段原则,考生一次性填报志愿,分段进行录取。每段录取时,根据志愿优先(传统志愿)原则,按高考总分从高分到低分顺序投档录取。
37.普通类提前录取的投档比例是多少?
答:普通类提前录取的投档比例不超过1:1.2。考生总分相同时按位次投档。其中,按规定须在投档前先进行政审、面试、体检等工作的,按比例分段提供考生名单,统一组织政审、体检、面试。
38.普通类提前录取的投档顺序是怎么安排的?
答:强基计划,浙江大学、复旦大学、上海交通大学、中国科学院大学四所高校三位一体招生,浙江警察学院三位一体综合评价招生,均在普通类提前录取工作开始前先完成录取;接着进行军队、公安、定向招生、地方属院校三位一体综合评价招生,及经过批准的国际关系学院等院校、航海类等专业的提前录取传统志愿投档和录取;其中,提前录取一段投档录取完成后,进行高校专项计划、高水平艺术团、高水平运动队、地方专项计划等特殊类型招生投档和录取。
39.提前录取院校专业对考生是否有文化成绩要求?
答:提前录取院校(专业)可参考我省普通类分段线,在第二段线上提出最低文化成绩要求。
40.提前录取院校进行专业调剂时,考生是否需满足其各专业选考科目要求?
答:须以考生符合专业选考科目要求为前提。
41.已被提前录取的考生,还有机会参加其他院校专业录取吗?
答:已被录取的考生,不再参加后续志愿投档和录取。未录取的考生不影响后续志愿投档和录取。
42.普通类平行录取志愿怎样设置?
答:普通类平行录取实行专业平行志愿,以一所院校的一个专业(类)作为一个独立的志愿单位,考生每次可填报不超过80个志愿。
43.普通类平行录取何时填报志愿?
答:普通类平行录取考生分二段填报专业平行志愿。其中第一段志愿填报安排在6月29-30日;第二段安排在7月24-25日填报志愿。
44.普通类平行志愿填报及录取流程是怎样的?
答:实行分段填报志愿、分段投档录取。第一段考生先填报志愿,在投档录取后剩余计划重新公布,未被录取的第一段考生和第二段考生填报志愿,再组织投档录取。第二段志愿填报和录取后,如仍有院校专业(类)未完成计划的,实行征求志愿。
45.普通类录取分段由三段改为两段后,考生志愿怎样选择和定位?
答:高考普通类录取由三段变两段后,考生位次还是按高考成绩从高到低一次性生成,与分段没有关系,不会因为段次变化而改变。专业平行志愿投档录取时按考生位次从高到低投档的规则也不会改变。
考生选报专业平行志愿时,仍可将位次作为志愿选择定位的核心依据,并可以将近年相关院校专业的投档位次、录取平均分、今年高考成绩分段表等作为重要参考;“冲一冲”“稳一稳”“保一保”的志愿填报参考策略仍然适用,提醒考生注意理性选报合理定位。
46.普通类专业平行志愿的投档比例是多少?
答:普通类专业平行志愿的投档比例为1:1。以考生符合所填报志愿的选考科目范围为前提,根据考生高考总分,实行专业平行志愿投档,直接投到考生所填报的具体院校的具体专业(类)。
47.普通类平行志愿中,总分相同的考生如何确定投档顺序?
答:高考总分相同的考生,依据位次、志愿顺序投档,全部相同者一并投档。
48.普通类考生位次怎样确定?
答:普通类考生位次按所有考生高考总分由高到低排序确定。高考总分相同时,先后按文化总分、语文数学总分、语文或数学单科成绩、外语单科成绩、选考科目单科成绩高低排序,全部相同者为同位次。
49.普通类80个专业平行志愿都是第一志愿,有无先后之分?
答:对院校专业来说,没有先后之分。不管是第1个还是第80个志愿填报的,一旦投到该院校专业,系统显示的志愿均为一志愿。
对考生来说,有先后之分。专业平行志愿投档依据考生位次、志愿顺序进行。计算机对考生所填报的80个志愿依次进行检索,先检索第1志愿,符合条件就投档,不符合条件立即检索第2志愿,依此类推。一旦检索到符合条件的志愿并投档,后续志愿立即同时失效。80个志愿中即使有多个符合条件的志愿,也只有一次投档机会,只投档到排在最前面的那个符合条件的志愿。所以对考生来说,精心安排志愿次序非常重要。
50.高考普通类录取三段改为两段后,考生填报志愿需注意什么?
答:考生需按规定及时登录浙江省教育考试院网站(www.zjzs.net)填报志愿。6月29-30日期间,需填报志愿的科类、批次比较多,考生比较集中,提醒考生尽量提前准备、错峰填报,注意志愿填报截止时间,以最后一次提交志愿为准,要防止上网高峰拥堵或临时停电等突发情况。
新一段线上考生如果无法被所填报的志愿录取,将与新二段线上考生一起再次填报志愿。因此,新一段线上考生应尽量选报足量志愿,保持较大的志愿梯度,至少分三个层次,并有一定数量的“保一保”志愿进行充分保底。其中高分段考生,需注意整体定位不宜过高,否则将导致风险放大;低分段考生,可扩大填报优质高职高专专业志愿范围。此外,还要注意院校专业选考范围要求,比如未选考物理等科目的考生选报专业志愿范围相对较小,要特别注意理性选择,合理定位。另外,我省部分省属优质高校预留了100个本科计划,在一段投档录取后、二段填报志愿时,供符合条件的一段线上未录取考生自主选报。
51.新一段线上的考生是否都能上本科专业?
答:新一段线不是本科线,新一段线上的考生不一定都能上本科。新一段线按考生实考人数的60%划定,考生数大于本科招生计划数。
同时,各院校专业选考范围不同,每位考生选考和报考情况不同,新一段线上考生录取在本科的机会也不同。高考总分相对较高的考生,若未合理定位和选报也可能录取到高职或专科志愿。考生需注意结合选考情况、位次理性选报志愿,并保持合理的心理预期。
三、艺术类志愿填报及投档录取
52.艺术类录取采用什么方式?
答:艺术类录取分两批进行。其中艺术类第一批实行传统志愿,按招生高校确定的拟录取名单投档;艺术类第二批实行专业平行志愿,分段填报志愿,分段录取。
53.艺术类录取批次具体怎样安排?
答:艺术类第一批:所有艺术类专业校考的专业和经批准列入该批录取的其他艺术类本科专业。第二批:除实行三位一体综合评价招生和已列入艺术第一批录取外的所有艺术类专业省统考本专科专业。实行三位一体综合评价招生的艺术类本科专业安排在艺术第一批录取前进行。
54.艺术类各批志愿怎样设置?
答:艺术类第一批实行以院校为单位的传统志愿。设2个院校志愿,每个院校设3个专业志愿和专业服从志愿。艺术类第二批实行专业平行志愿,以一所院校的一个专业作为一个志愿单位,考生每次可填报不超过30个志愿;艺术类第二批各类别志愿不能同时兼报,考生只能选择一个类别填报。此外,艺术类三位一体招生设1个院校志愿、3个专业志愿和专业服从志愿。
55.艺术类第一批的录取规则主要有哪些?
答:艺术类第一批院校基本上采用校考成绩,也有少量采用省统考成绩。录取规则由各院校自主确定,主要有三种:(1)以文化成绩和专业成绩(校考或省统考成绩,下同)按一定比例折合成的综合分排序;(2)文化成绩达到一定分数线要求后以专业成绩排序;(3)专业成绩达到一定分数线要求后以文化成绩排序。此外,有的院校还会在录取时考虑专业成绩排名等因素。因此,考生在确定报考院校时一定要仔细阅读该校的招生章程。
56.艺术类第二批怎样投档录取?
答:艺术类第二批录取分类别实行分段填报志愿、分段录取。投档比例为1:1。以考生符合所填报志愿的选考科目范围为前提,分类别以美术、音乐、舞蹈、影视表演、时装表演、播音主持、编导、摄制类的综合分成绩为投档依据,实行专业平行志愿投档,直接投到考生所填报的具体高校的具体专业。综合分成绩相同情况下,考生综合分位次在前者优先投档,位次相同时志愿顺序在前者优先投档,位次和志愿顺序均相同则一并投档。
57.艺术类考生位次如何确定?
答:艺术类考生位次分类别按综合分成绩确定。综合分成绩相同时,按专业省统考成绩、高考总分、文化总分、语文数学总分、语文或数学单科成绩、外语单科成绩、选考科目单科成绩高低排序,全部相同者为同位次。
58.艺术类专业平行志愿中各类别综合分成绩怎么计算?
答:艺术类综合分成绩满分为750分,各类别具体折算方法为:
美术、音乐类的综合分成绩=高考总分×50%+专业省统考成绩×7.5×50%。
舞蹈、影视表演、时装表演类的综合分成绩=高考总分×40%+专业省统考成绩×7.5×60%。
播音主持类的综合分成绩=高考总分×80%+专业省统考成绩×7.5×20%。
编导、摄制类的综合分成绩=高考总分。
59.是否所有批次的艺术类招生都须达到我省统一划定的文化分数线?
答:不是的。我省统一划定的艺术类文化分数线,仅仅是对艺术类第一批录取高校专业的要求(教育部批准的可自主划定文化分数线的高校专业除外)。
60.分别通过两个艺术类别专业省统考的考生,是否这两类志愿都能填报?
答:艺术类第一批是传统志愿,可以兼报。艺术类第二批分类别实行专业平行志愿投档,同段不能填报不同类别志愿;考生如在艺术类二批一段填报了播音主持类志愿就不能再填报艺术类二批一段编导类志愿,在艺术类二批二段填报时考生又可重新选择,可以选择两类中的一类填报志愿。
61.艺术类考生专业省统考或校考成绩不合格,能转普通类录取吗?
答:我省艺术类考生系统默认兼报普通类,因此无论专业省统考或校考成绩是否合格,只要高考成绩达到普通类相应分段线,均能转报普通类志愿。
62.艺术类考生能兼报普通类志愿吗?
答:可以兼报。但由于艺术类和普通类的录取进程有重叠,故艺术类考生只能兼报部分普通类志愿。以下情况不能兼报:艺术类第一批(含艺术类三位一体)与普通类提前录取院校不能兼报;艺术类第二批第一段与普通类提前录取院校(不含公安院校)不能兼报。根据录取进程安排,已被录取的考生不再参加后续志愿录取。
63.考生同时填报了高水平艺术团和艺术第一批志愿,哪个先录取?
答:考生如同时填报了高水平艺术团和艺术类第一批志愿,艺术类第一批先录取。
四、体育类志愿填报及投档录取
64.高考体育类招生是否实行分批录取?
答:高考体育类招生不分批次,本专科合并一个批次分段录取。
65.高考体育类录取采用什么方式?
答:高考体育类录取实行专业平行志愿,分段填报志愿,分段录取。
66.体育类志愿怎样设置?
答:体育类招生本专科专业均实行专业平行志愿。分两段填报志愿,以一所院校的一个专业为一个志愿单位,考生每次可填报不超过30个志愿。
符合体育特招生条件的考生,还可再填报相应传统志愿,设1个院校志愿、3个专业志愿和专业服从志愿。
67.体育类怎样投档录取?
答:以考生符合所填报志愿的选考科目范围为前提,根据体育类专业综合分,实行专业平行志愿投档,投档比例为1:1。直接投到考生所填报的具体高校的具体专业(类)。综合分相同情况下,考生综合分位次在前者优先投档,位次相同时志愿顺序在前者优先投档,位次和志愿顺序均相同则一并投档。
68.体育类考生位次怎样确定?
答:体育类考生位次按考生的综合分成绩高低排定。综合分相同时,按省统考术科成绩、高考总分、文化总分、语文数学总分、语文或数学单科成绩、外语单科成绩、选考科目单科成绩高低排序。全部相同者为同位次。
69.体育类综合分成绩怎样计算?
答:体育类专业综合分满分为750分,计分公式:综合总分=考生总分(文化总分+政策加分)×50%+术科成绩×7.5×50%。
70.体育类考生可兼报普通类志愿吗?
答:可以兼报。但由于录取进程有重叠,体育类考生只能兼报部分普通类志愿。以下情况不能兼报:体育类第一段(含体育特招生)与普通类提前录取院校(不含公安院校)不能兼报。根据录取进程安排,已被录取的考生不再参加后续志愿录取。
71.体育特招生对文化成绩有什么要求?
答:体育特招生文化分录取最低控制分数线,按不低于普通类新一段线的75%划定。
72.体育特招生怎样投档录取?
答:特招生录取在平行志愿投档前完成。省教育考试院将所有填报考生投档给各志愿院校,院校按本校录取办法确定录取名单,在系统中完成录取工作。
五、多元选拔及特殊类型招生
73.什么是强基计划?
答:2020年1月,教育部发布《关于在部分高校开展基础学科招生改革试点工作的意见》,决定自2020年起,在部分高校开展基础学科招生改革试点,也称“强基计划”。强基计划旨在为国家重大战略领域输送后备人才。主要选拔培养有志于服务国家重大战略需求且综合素质优秀或基础学科拔尖的学生。
74.强基计划试点高校及招生专业有哪些?
答:目前强基计划试点高校有北京大学、清华大学等共36所。强基计划聚焦高端芯片与软件、智能科技、新材料、先进制造和国家安全等关键领域以及国家人才紧缺的人文社会科学领域。由有关高校结合自身办学特色,合理安排招生专业。突出基础学科的支撑引领作用,重点在数学、物理、化学、生物及历史、哲学、古文字学等相关专业招生。
75.强基计划怎样考核和录取?
答:强基计划招生基于统一高考多维度考核评价学生。高校依据考生的高考成绩,确定参加高校考核的考生名单。考生参加统一高考和高校考核后,高校根据考生高考成绩、高校综合考核结果及综合素质评价情况等按比例合成考生综合成绩(其中高考成绩所占比例不低于85%),按考生综合成绩进行录取。对于极少数在相关学科领域具有突出才能和表现的考生,有关高校可制定破格入围考核的条件和办法,并提前向社会公布。
招录流程大致为:试点高校发布年度“强基计划”招生简章→考生网上报名→考生参加统一高考→高校依据高考成绩确定入围考核名单并公示→高校组织考核→高校根据考生综合成绩择优录取。
76.强基计划何时填报志愿和录取?
答:高校强基计划根据教育部规定在7月5日前完成录取,考生强基计划志愿以在各试点高校报名系统填报的信息为准。被正式录取的考生不再参加后续高考志愿录取;未被录取的考生可正常参加后续各批次(段)高考志愿录取。
77.今年参加我省三位一体招生的院校有哪些?
答:今年在我省开展“三位一体”综合评价招生的共有50所高校,其中包括44所省内地方属高校和复旦大学、上海交通大学、浙江大学、中国科学院大学、香港中文大学(深圳)及南方科技大学等部属和省外高校。
78.高校三位一体招生一般何时录取?
答:复旦大学、上海交通大学、浙江大学、中国科学院大学这四所高水平大学的三位一体招生于强基计划录取之后、7月8日前完成录取工作。报考这四所高校三位一体招生的考生,须已提前网上确认高水平大学三位一体招生志愿并自主确定优先录取顺序。被录取考生不再参加后续志愿的录取。
香港中文大学(深圳)、南方科技大学、省内地方属高校三位一体综合评价招生的入围学生须在6月29-30日填报志愿,不填报入围院校志愿的视为放弃入围资格。符合条件的入围学生将投档给高校,由各高校按学生综合成绩从高分到低分择优录取。
79.浙江警察学院三位一体招生何时录取?
答:浙江警察学院三位一体综合评价招生志愿单列,在普通类提前录取工作开始前完成录取。被浙江警察学院录取的考生,不再参加后续其他院校录取;未被浙江警察学院录取的考生,不影响普通类提前录取5个院校志愿的投档录取。
80.中职考生在高考招生中有哪些选拔模式可选择?
答:实施新高考后,有统一高考招生、单独考试招生、高职提前招生和三位一体招生四种主要入学途径,中职毕业生都可以参加。
按试点方案,中职学生除了毕业当年或毕业后分别以应、往届毕业生身份参加招生考试外,在就读期间就要根据所选择的入学模式,分别参加职业技能考试或高中学考和高考选考。
81.单独考试招生怎样填报志愿?
答:单独考试招生实行专业平行志愿。一所学校的一个专业作为一个志愿单位,考生每次可填报不超过30个专业志愿;各类别志愿不能同时兼报,考生只能选择一个类别填报。
82.单独考试招生怎样投档录取?
答:按考生总成绩,分类别实行专业平行投档,投档比例为1:1,考生总分相同时,则按文化总分高低,文化总分仍相同时再按单科顺序及分数高低依次投档。单科排列顺序为职业技能、语文、数学。同一学校总分、文化总分和单科成绩均相同时,再按志愿顺序投档。
83.高水平艺术团、高校专项计划如何填报志愿?
答:高水平艺术团及农村学生单独招生高校专项计划单独设1个院校志愿,考生可从本人入围的多所院校中自主选报其中1所作为本人志愿;在6月29-30日与普通类第一段等同时填报志愿。已填报志愿后又放弃录取的考生,只能参加普通类平行志愿第二段及之后录取。
84.高水平艺术团、高校专项计划与普通类提前录取会有冲突吗?
答:先进行普通类提前录取,一段线上考生投档录取完成后,再进行高水平艺术团、高校专项计划投档录取。
85.高水平艺术团、高校专项计划招生对考生文化成绩有什么要求?
答:高水平艺术团、高校专项计划招生最低文化成绩要求原则上不得低于我省特殊类型招生控制线。
86.高水平运动队招生对考生文化成绩有什么要求?
答:文化成绩原则上要求不得低于普通类第一段分数线的65%。
87.高水平运动队需要填报志愿吗?怎样录取?
答:高水平运动队必须填报志愿,单独设1个院校志愿,符合条件的考生可从本人入围的多所院校中自主选报其中1所作为本人志愿;在6月29-30日与普通类第一段等同时填报志愿。已填报志愿后又放弃录取的考生,只能参加普通类平行志愿第二段及之后录取。录取安排在普通类第一段专业平行志愿投档前进行。
88.什么是高校专项计划?
答:高校专项计划,是国家为更好地促进教育公平、让更多的农村学生上“好大学”而出台的一项优惠政策。面向农村和原贫困地区招收勤奋好学、成绩优良的农村学生。高校专项计划不占分省计划,是我省有关农村学子进入高水平大学的纯增量通道。
89.什么是地方专项计划?
答:地方专项计划,即省内地方高校招收实施区域的农村学生的专项计划。2021年23所省内高校面向有关实施区域县(市、区)共安排625名本科计划。
90.地方专项计划怎样填报志愿和录取?
答:地方专项计划招生单独设置专业平行志愿,一所高校的一个专业(类)作为一个志愿单位,考生可填报不超过30个志愿。考生高考成绩须达到我省普通类新一段线。志愿填报时间为6月29-30日。
录取工作安排在普通类提前录取5个志愿一段投档完成后进行,实行专业平行志愿投档。以考生符合选考科目范围为前提,根据各县(市、区)招生计划,分数从高到低,按考生志愿顺序检索,一旦出现符合投档条件的专业和院校,即投档到该专业该院校。
91.考生报考农村专项计划要满足什么条件?
答:报考高校专项计划的考生须同时具备以下条件:(1)考生本人在下列县(市、区),具有当地连续3年以上农业户口户籍,其父亲或母亲或法定监护人具有当地农业户口户籍:淳安县、温州市洞头区、永嘉县、文成县、平阳县、泰顺县、苍南县(含龙港市)、武义县、磐安县、衢州市柯城区、衢州市衢江区、龙游县、江山市、常山县、开化县、岱山县、嵊泗县、天台县、仙居县、三门县、丽水市莲都区、龙泉市、青田县、云和县、庆元县、缙云县、遂昌县、松阳县、景宁县;(2)本人具有户籍所在县(市、区)高中连续3年学籍并实际就读、符合当年统一高考报名条件。
报考地方专项计划志愿的考生,须同时符合以下条件:(1)具有上述县(市、区)的农业户口户籍,并具有当地完整的高中阶段连续学习经历和学籍;(2)符合当年高考报名条件。
其中,考生本人及其父亲或母亲或法定监护人的户口性质按取消农业户口与非农业户口性质区分前认定。志愿填报结束后,各县(市、区)教育行政部门和公安部门对已填报志愿考生进行资格审核,不合格者不予投档录取。
92.保送生还能不能参加其他院校的招生录取?
答:已确认保送录取的学生不再参加普通高校招生全国统一考试,其他院校不再录取。
93.被香港的大学提前录取后,还能再参加内地其他高校录取吗?
答:根据2021年浙江省普通高校招生工作实施意见,未纳入统招的香港高校的招生工作,须在7月7日前完成。凡被录取的考生,后续其他高校不再录取。
六、 网上填报志愿注意事项
94.网上填报志愿的基本步骤和程序怎样?
答:考生在规定时间内登录浙江省教育考试院网站(www.zjzs.net),凭本人身份证号和原设置的密码,进入高校招生网上志愿填报系统,根据系统显示的页面,输入选择的院校和专业志愿,确认无误后提交。
95.网报志愿时有哪些重要提醒?
答:网报志愿时,涉及志愿填报帮助和提醒的文字提示,会在以下页面出现:登录时,首页面,选择批次填报时,志愿提交时,退出系统时。考生应认真按文字提示要求填报志愿。
96.网报志愿系统给考生提供哪些便利?
答:系统为考生选报志愿提供这些便利:自动过滤只显示符合本人选考科目的专业;只显示本人本阶段能够填报的类型批次;公安、三位一体等有限报资格要求的在提交时能够检索提示;各平行投档的志愿可以逐个输入,也能批量导入。
97.怎样生成志愿导入文档?
答:考生可登录浙江省教育考试院网站(www.zjzs.net)进入“浙江省高校招生考试信息管理系统”,在“计划查询”模块中,下载符合本人填报的计划文档及文档使用说明,使用文档辅助选择院校专业志愿,选定后点击文档右上角的“自动生成志愿文档”,即可得到本段次志愿导入文档。
98.计划查询功能中显示和导出下载的院校专业计划数据和平行志愿计划下载的数据是否相同?
答:不一定相同。平行志愿计划下载的数据是分类别符合考生选考科目的当前全部可填报的院校专业,计划查询功能中查询显示的院校专业,是可以增加省份、层次、名称等查询条件的,显示的是符合所有查询设置条件的院校专业,导出下载的也是上述数据。
99.所有批(段)次考生的志愿都能通过批量导入填报吗?
答:只提供平行投档各段次的导入。提前批、艺术类第一批等实行传统志愿的只能通过输入填报。
100.系统里下载的平行志愿计划是否都可以用?
答:不是。系统里下载的平行志愿计划是分普通类、艺术类(再分8个类)、体育类三个分开,且是当前志愿填报段次可用的,一、二段发布的平行志愿计划中院校专业肯定不一样。使用平行志愿计划文档生成志愿填报导入数据,必须选择正确的录取类别段次计划数据。
101.不同类别、段次的平行志愿计划文档如何区分?
答:系统里下载的平行志愿计划文档的名称能明显区分。显示的名称中已包含录取类别、段次、选考科目组以及艺术省统考类别、单独考试招生类别等信息,例如:艺术类平行计划1_艺术第二批编导统考志愿_政治历史地理. XLS。请考生们仔细查看、注意区分。
102.采用导入文档的方式填报志愿后还能修改么?
答:可以的。以导入文档的方式填报志愿和逐个输入志愿的方式一样,均可进行删除、新增、改变志愿号等操作。
103.提交志愿后是否要重新登录才能修改?
答:不是。提交志愿后,只要还在本次操作的60分钟内,不需要重新登录。
104.按了“提交志愿”键还能修改吗?多次修改后以哪次提交的为准?
答:在志愿填报截止时间前,考生可多次登录系统进行志愿修改、提交确定。系统始终以其网上最后一次修改确定并成功提交的志愿为准。
105.错过第一段网报志愿规定时间可否补填志愿?
答:志愿填报截止时间后,不能再进入填报志愿系统修改和确定志愿,也不接受补报志愿。如果你错过了一段志愿填报,可以参加第二段线上志愿填报和录取。
106.网报志愿是否越晚越好?
答:为保证正常填报志愿,避免志愿填报临近截止时间时出现停电、计算机损坏、网络繁忙无法登录等意外情况造成填报志愿无法正常进行,乃至影响正常录取,建议在规定的时间内尽量提前上网填报和确定志愿。填报后如果想法有变化,只要是在填报截止时间前,仍可登录系统进行修改。
107.为什么有的考生分数上了所填专业分数线却没有被投档?
答:根据高考录取方案,专业平行志愿投档比例为1:1。高考总分相同的考生,依据位次、志愿顺序投档。尽管分数达到所填专业分数线,但如果位次或志愿序号未达到,仍不能被投挡该专业。
108.志愿网报过程中遇到下拉菜单无法显示,无法提交等问题怎么办?
答:这类情况主要是本地网络拥堵网速太慢、计算机的浏览器兼容性不好等原因造成。遇到这类情况应尝试更换计算机、或查看志愿填报系统里的提示改装其他的浏览器,以及咨询中学报名点的老师。
109.网报志愿能否用手机或平板电脑?
答:建议不用。一是视屏小,不能很好地显示填报页面,影响填报,二是手机或平板电脑基本上都是通过触屏形式操作,容易发生误操作,再则其操作系统与普通电脑的操作系统存在一定差别,填报系统的有些功能在手机上可能会出现无法运行的状况。
110.网报志愿设置密码有什么讲究吗?
答:为确保安全,密码设置要相对复杂,长度不少于8位,且以数字和英文字母(注意区分大小写)混合组成。应牢记自己的密码并严禁向其他人透露。考生因密码保管不当被人窃取并被篡改志愿,造成后果由考生本人负责。
111.正式网报志愿期间忘记登录密码怎么办?
答:正式填报志愿期间,考生若忘记密码无法登录,须到所在报名点学校或报名地招生考试机构填写申请表,批准后进行密码重置,密码重置后应登录系统修改密码。
112.考生怎么查看录取结果?
答:考生可通过浙江省教育考试院网站(www.zjzs.net)查询录取信息。考生收到录取通知书后,应及时通过省教育考试院或高校指定的信息发布渠道进行核实和确认。
113.查询录取结果时显示“预录取”是什么意思?还会变吗?
答:对考生来讲,预录取就是录取,不会改变了,不需要参加后续志愿填报;对院校来讲,预录取意味着该院校截至当前一轮投档,还没有招满,还要通过后续填报志愿来完成全部计划。
114.填报志愿时需要进一步了解详尽内容,该到哪里去查询?
答:考生填报志愿时,需了解更详尽内容的,所有政策规定以省教育考试院正式发布的文件为准,可查询浙江省教育考试院网站发布的各类政策规定。
400-800-8273